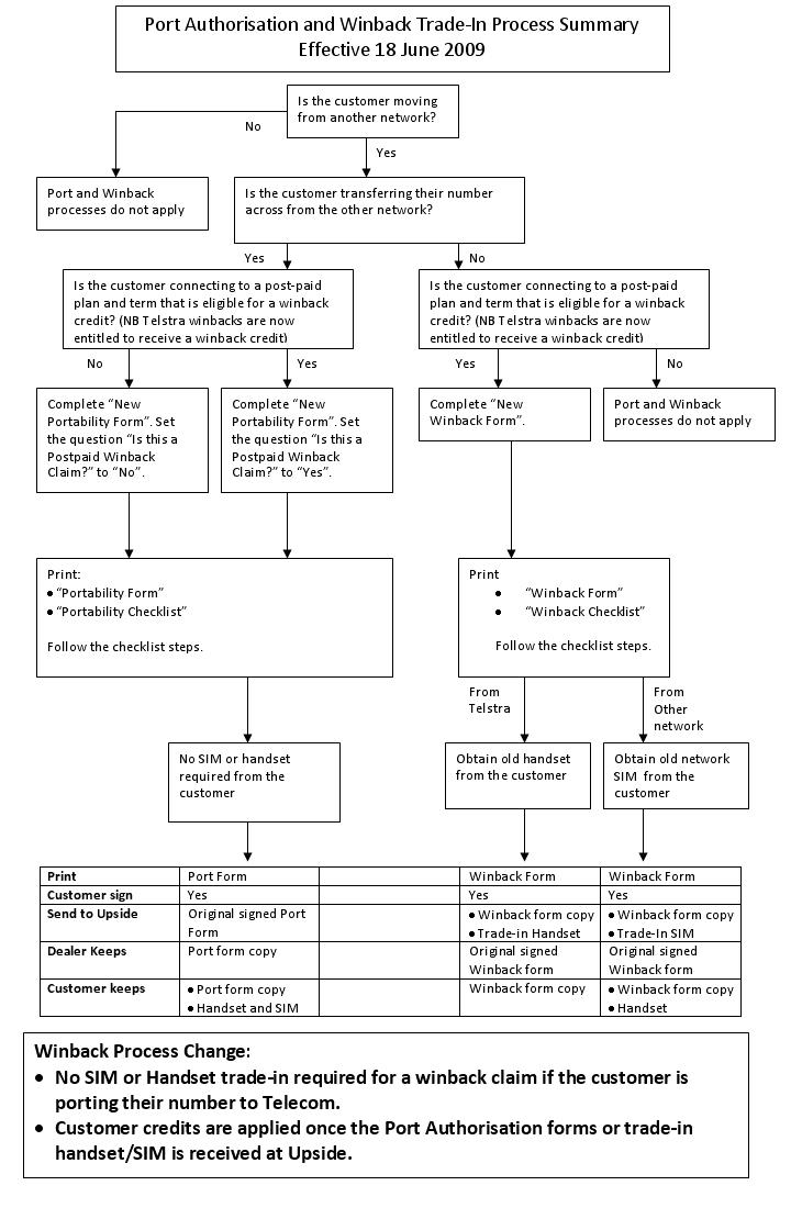
Registration   Process Summary Filling out the web Port Authorisation Form Winback Trade-in Help

Process Summary


The Upside web site allows you to register new connections as a Port, Winback, or as both. Ports and Winback claims are not the same thing. Please use the process summary to ensure that you follow the correct steps.